致敬成长,逐梦未来——记优米娱乐app六年级毕业季系列活动
佳木已葱茏
仲夏骊歌起
毕业时刻临近
浓浓的绿意在校园里弥漫
深深的离情在心中荡漾
携带着初夏的温情
怀揣着对六年小学生活的不舍与回忆
六年级的同学们开展了成长纪念册
制作展评
以及为母校写一封信等系列活动


不畏荆棘 奋勇前行
活动开始前,各班级老师耐心为同学们讲解了制作成长纪念册的方法、步骤及注意事项。希望同学们用这种方式绘制自己独一无二的纪念册,用心、用笔将六年成长中的点点滴滴汇集在这精美的《成长纪念册》中,找寻曾经陪伴他们成长的那些人、那些事,留下一个难忘的毕业季。
接下来的几天,同学们各自确定了成长纪念册的主题,利用课余时间,做出了一本本图文并茂的成长纪念册。从大家的制作成果来看,纪念册的内容丰富、主题鲜明、形式多样,处处体现着学生独具匠心的设计和对小学生活的无限热爱与留恋,相信这本纪念册是他们送给自己最好的毕业礼物。
翻开这些纪念册,小学生活的甜蜜与趣味跃然纸上。同学们或讲述难忘的小学生活的“第一次”;或讲述自己成长中的最佳伙伴;或讲述对启蒙老师的感激之情;或讲述研学之路克服困难的勇敢经历……大家互相传阅翻看,一幅幅美妙的画面重现眼前,一张张熟悉的面孔闪现脑中……那么多美好值得留恋,那么多瞬间值得铭记,大家仿佛又回到了那些一起经历的日子,班级里充满着欢声笑语。
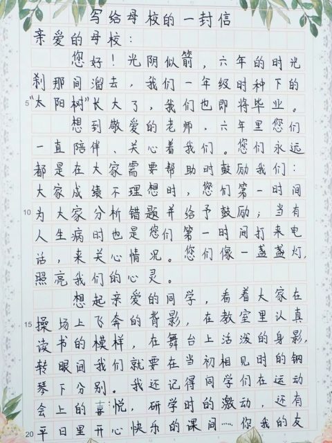
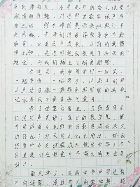
给母校写一封信
最是人间留不住,朱颜辞镜花辞树。为增强学生感恩之心、爱校之情,学校还组织开展了“给母校写一封信”活动,同学们由感抒怀,以手写心声,用文字表达对母校和老师最真挚的祝福和感恩。信件中记录着每一位学生六年小学生活的点点滴滴,饱含着同学们对母校的深情热爱和依依不舍,学生在写信的过程中重拾六年的美好记忆,懂得了成长需要自己努力的同时,也离不开学校的关怀、老师的教导和同学的帮助。











一朝沐杏雨,终生念师恩。六年的小学时光即将结束,追光少年们也即将开启新的旅程,相信同学们会带着感恩之心,以蓬勃向上的热情,努力创造更加美好的未来,愿同学们乘风破浪,笔下皆为梦想!








